Vize Soruları
SORU 1.)
Gerçek buhar sıkıştırmalı bir soğutma çevriminde soğutucu akışkan olarak R-134a kullanılmaktadır. Çevrim 280 kPa basınç ile 1200 kPa basınç arasında çalışmaktadır. Kompresörün verimi 0.75 tir. Kompresör girişinde süper ısıtma yapılarak gaz sıcaklığı 0°C ye getiriliyor. Türbin girişinde de 6.29°C süper soğutma yapılmıştır. Buna göre çevrimin T-s diyagramını çiziniz. Kompresör işini, çevrimin performansını, dış ortama verilen ısıyı bulunuz.

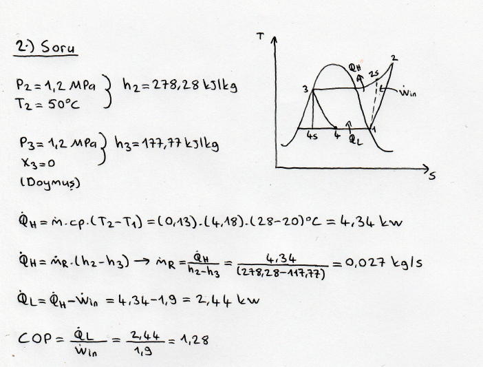
SORU 2.)

Şekildeki su soğutmalı soğutma sistemde kondenser çıkışında akışkan doymuş olarak çıkmaktadır. Su sisteme 20°C de girip 28°C de çıkmaktadır. Suyun kütle debisi 0.13 kg/s dir. Kompresör işi 1.9 kW tır. Soğutucu akışkan R-134a nın debisini, soğutma yükünü ve çevrimin performans katsayısını bulunuz.

SORU 3.)

Şekildeki gibi iki kademeli soğutma yapan bir soğutma sistemi 1.4 MPa ve 0.12 MPa basınçları arasında çalışmaktadır. Soğutucu akışkan R 134a dır. Buharlaşma odası basıncı 0.5 MPa dır. Akışkan buharlaştırıcıdan doymuş olarak çıkmaktadır. Soğutma siteminde buharlaşma odasının kuruluk derecesini, soğutma yükünü, kompresör işini ve performans katsayısını bulunuz. Çevrimin T-s diyagramını çiziniz.


Final Soruları
SORU 1.)
Bir soğutucu akışkanda bulunması gereken temel özellikleri yazınız.
- Az bir enerji sarfiyatı ile daha çok soğutma elde edilmelidir.
- Soğutucu akışkanın buharlaşma ısısı yüksek olmalıdır.
- Buharlaştırıcı da akış atmosfer basıncının altına inmemelidir.
- Yoğuşma basıncı düşük olmalıdır.
- Vizkositesi düşük ve yüzey gerilimi ( kılcallığı )az olmalıdır.
- Emniyetli ve güvenilir olmalıdır.
- Yağlama yağları ile soğutma devresindeki elemanlar ile zararlı sonuç verebilecek reaksiyonlara girmemelidir.
- Soğutma devresinde bulunmaması gereken rutubet ( su ) ile bir arada bulunması durumunda bile çok zararlı reaksiyonlar meydana getirmemelidir.
- Sistemden kaçması halinde , bilhassa yiyecek maddeleri üstünde zararlı etki yapmamalıdır.
- Sistemden kaçarak havaya karışması halinde civardaki insanlara ve diğer canlılara zarar vermemelidir.
- Havaya karıştığında yanıcı ve patlayıcı bir ortam meydana getirmemelidir.
- Ucuz ve kolay temin edilmelidir.
- Ozon tabakasına zarar vermemeli.
- Zehirli ve kansorojen olmamalı.
- Kaçağı kolay tespit edilebilmeli.
- Kritik sıcaklığı ve basıncı yüksek olmalıdır.
- Buharlaşma gizli ısısı yüksek olmalıdır.
- Küçük kapasiteli bir kompresörün kullanımına uygun olmalıdır.
- Elektriksel özellikleri bilhassa hermetik tip kompresörler için uygun olmalıdır.
- Çalışma şartlarındaki basınç ve sıcaklıkların en uç sınırlarında dahi ayrışıp çözülmemeli , bütün özelliklerini muhafaza etmelidir.
SORU 2.)
Akışkan olarak R134a’nın kullanıldığı bir soğutma çevriminde -13°C lik ortamdan ısı çekilmektedir. Çevre sıcaklığı 27°C dir. Akışkan kompresöre 100 kPa basınçta 6.4°C süper ısıtılmış olarak girmektedir. Debi 0.05 kg/s dir. Kompresörün verimi 0.85 dir. Akışkan kondenserden 39.4 °C sıcaklıkta doymuş olarak çıkmaktadır. Sistemin COP değerini, her bir elemen için ekserji yıkımını, toplam ekserji yıkımını, ikinci yasa verimini bulunuz.


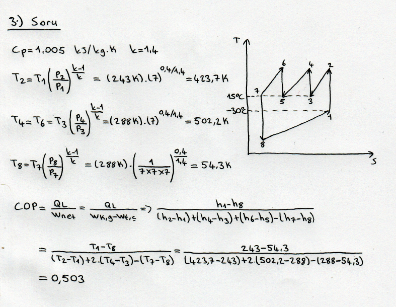
SORU 3.)

Şekilde soğutucu akışkan olarak havanın kullanıldığı ideal soğutma çevriminde üç kademe sıkıştırma yapılıyor. Hava birinci kompresöre -30°C de, 50 KPa basınçta girmektedir. Her bir kompresörün basınç oranı 7 dir. Hava üçüncü ısı değiştiricisinden (kondenserden) 15°C sıcaklığında çıkmaktadır. Çevrimin COP değerini bulunuz. Özgül ısıları sabit alınız.






